千维计算器最新版App是一个功能强大的科学计算器,界面简洁,操作方便。它不仅支持基本的四则运算,还能处理复杂的科学函数,比如三角函数、指数函数和开放函数,甚至能进行最小二乘法计算。软件的一大亮点是支持自定义公式,用户可以轻松创建并保存常用公式,提升计算效率。此外,千维计算器还内置了语音播报功能,用户可以根据需求选择开启或关闭音效,同时自动保存所有计算记录,避免误操作导致数据丢失。
我个人觉得这款计算器非常适合需要频繁进行科学计算的用户,尤其是它的自定义公式和最小二乘法功能让我印象深刻。界面设计也很贴心,尤其是快捷输入键盘,让计算变得更加高效。总的来说,千维计算器不仅实用,还很注重用户体验,是一款非常值得推荐的工具。
千维计算器最新版App是一款非常实用的多功能科学计算工具,在这里,不但采用了精致简约的操作界面设计,拥有着极具个性化特色的快捷输入键盘,你只需要在相关方框位置当中输入相应内容即可快速为你实时显示各种具体过程换算,同时支持国际主流的工程计算单位以及小数禁止转换,轻松一键就能够为你快速进行科学函数计算,而且千维计算器中文版支持功能有效排序,更是内置了语音自动播报案件效果,方便你自定义设置为按钮点击音效亦或者直接静音,并且可以有效自动保存你已经换算过了的计算过程,避免你因为错误操作导致相关计算记录内容消失,导致你需要重新进行各种极为繁琐的换算,这款软件还支持主流的三角函数、冥函数以及开放函数等同时计算,更能够进行36内的斤之间自由转换,充分满足你对计算换算的各项需求。

软件优势
1、语音自动播报按键效果,同时支持设置为按钮点击音效或者静音。
2、千维计算器支持四则运算与分步计算两种模式,界面中可以直接切换实时显示计算结果。
3、自动保存计算过程,同时支持手动点按“=”手动保存计算记录。
4、高精度计算,支持28位有效数字,小数15位有效数字。
怎么创建自定义公式
1、我们点击千维计算器下方蓝色按钮中的第一个【自由公式】按钮。

2、接着再点击右上角的【+】,创建自定义公式。

3、第一行填写【公式名称】,第二行填写【公式内容】,填完后点击右上角【√】保存。

4、保存完成后,就可以在【公式列表】最下方看到创建好的公式。

5、点进公式,【输入】对应的数值,即可自动完成计算。

怎么算最小二乘法
1、先把n个数据测量值画在坐标纸上,如果呈现一种直线趋势,才可以进行最小二乘法(直线回归法)。

2、然后就是计算这些n个数据点的横坐标平均值和纵坐标的平均值:

3、接着计算所有点的横坐标求和结果,以及所有点的纵坐标求和结果:

4、然后是计算每个数据点横坐标的平方,然后求和,以及计算每个点横坐标乘以纵坐标的乘积,然后求和:

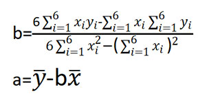
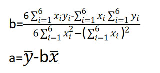
5、最后就是利用两个公式,把将要求的直线方程中的截距a和斜率b这两个参数代入上面的公式计算出来:

6、求出了a和b这两个参数之后,就可以得到直线方程:y=ax+b。这个时候还要利用这个方程,先取两个点,这两个点要求横坐标x1和x2距离比较远,这样误差会比较小(太近的两个点,误差比较大),然后分别代入刚求出来的直线方程y=ax+b,求出对应的y1和y2,然后把(x1,y1)和(x2,y2)描点在坐标纸上,这样就可以利用两点画出一条最终的回归直线了。

7、用户可以按照上述的创建自定义公式方法在千维计算器中创建最小二乘法的公式,然后进行方便计算。

应用评测
千维计算器不仅具备了传统计算器的基本功能,如四则运算及分步计算,同时还支持复杂的科学函数处理,无论是三角函数还是冥函数,甚至是开放函数都能应对自如。更为亮眼的是其对于细节的关注,例如提供了个性化的快捷输入键盘,使得我在进行快速计算时能够得心应手。更重要的是,千维计算器内置了语音播报功能,允许用户根据自身偏好调整为点击音效或是完全静音模式,这无疑大大提升了用户体验。
此外,千维计算器强大的自动保存功能也是一个极大的加分项,它能够智能地保存每一次的计算过程,即使在误操作的情况下也不必担心数据丢失的问题。特别值得一提的是,这款应用还支持自定义公式创建,通过简单的几个步骤即可完成个性化公式的设定,极大地便利了那些经常需要使用特定计算方式的用户群体。结合其出色的界面设计与高效的计算能力,千维计算器无疑是那些寻求高效、便捷计算解决方案用户的理想之选。
更新内容
v6.9.3:
• 修复了已知问题
v6.8.10:
• 优化了用户体验
• 修复了一些问题
v6.8.8:
• 自由公式支持管理默认公式
• 优化了用户体验
v6.8.5:
• 优化自由公式函数计算

































共有 0条评论